??? "?????????????"

 

 

г.Минск, ул. Ольшевского,

д.20, комн. 31

телефоны:

(017) 367-13-31

(017) 368-50-50

(017) 369-18-81

+375-29-663-82-22 (A1)

+375-29-574-82-22 (MTC)

+375-29-691-03-31 (Viber, WhatsApp)

 

с 9-00 до 17-00

понедельник-пятница

 

e-mail:

agrodor@tut.by

agrodor@list.ru

 

 

Главная / О Компании / Контакты / Библиотека / Ссылки
Главная > Резинотехнические изделия > Набивки сальниковые

 

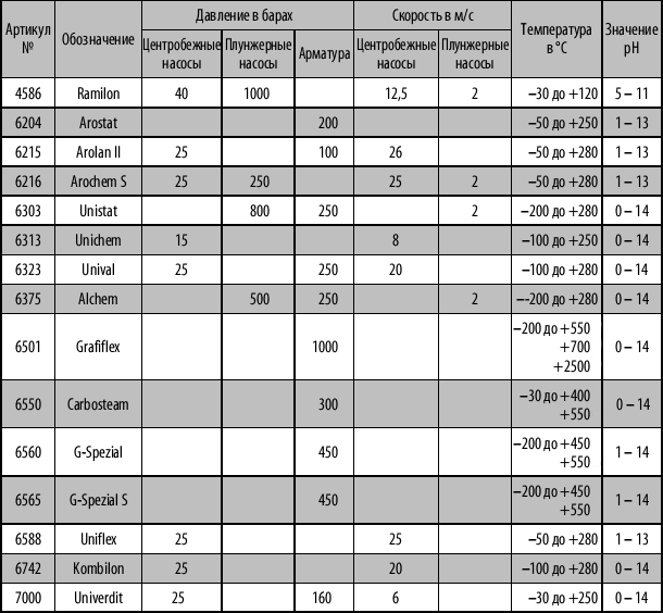
  Рабочие параметры сальниковых набивок
pictures

 

  picture

Сальниковая набивка Merkel Ramilon 4586

 

1. Особенности
Ramilon состоит из исключительно высокопрочных натуральных волокон рами. Он устойчив к гниению и воздействию микроорганизмов. Долговечная пропитка из PTFE по особой технологии соединяется с пряжей. Ramilon разрешен для применения в пищевой промышленности (одобрен Государственным исследовательским институтом по тестированию материалов (МРА)).

  • Исключительно высокая износостойкость;
  • Защищает вал;
  • Отличные долговременные свойства.

2. Применение
центробежные насосы, рафинеры, мельницы, плунжерные насосы, дейдвудные трубы

3. Область применения
Рабочее давление:
Центробежные насосы - 40 бар
Плунжерные насосы - 1000 бар
Температура: -30 °C до +120 °C
Скорость:
Центробежные насосы - 12,5 м/с
Плунжерные насосы - 2 м/с
Значение pH - 5-7

4. Среды:
Холодная, питьевая, озерная, теплая вода;растворы, содержащие твердые частицы, масла, смазки, растворители, продукты питания.

 

  Номенклатурный перечень набивок Ramilon
pictures